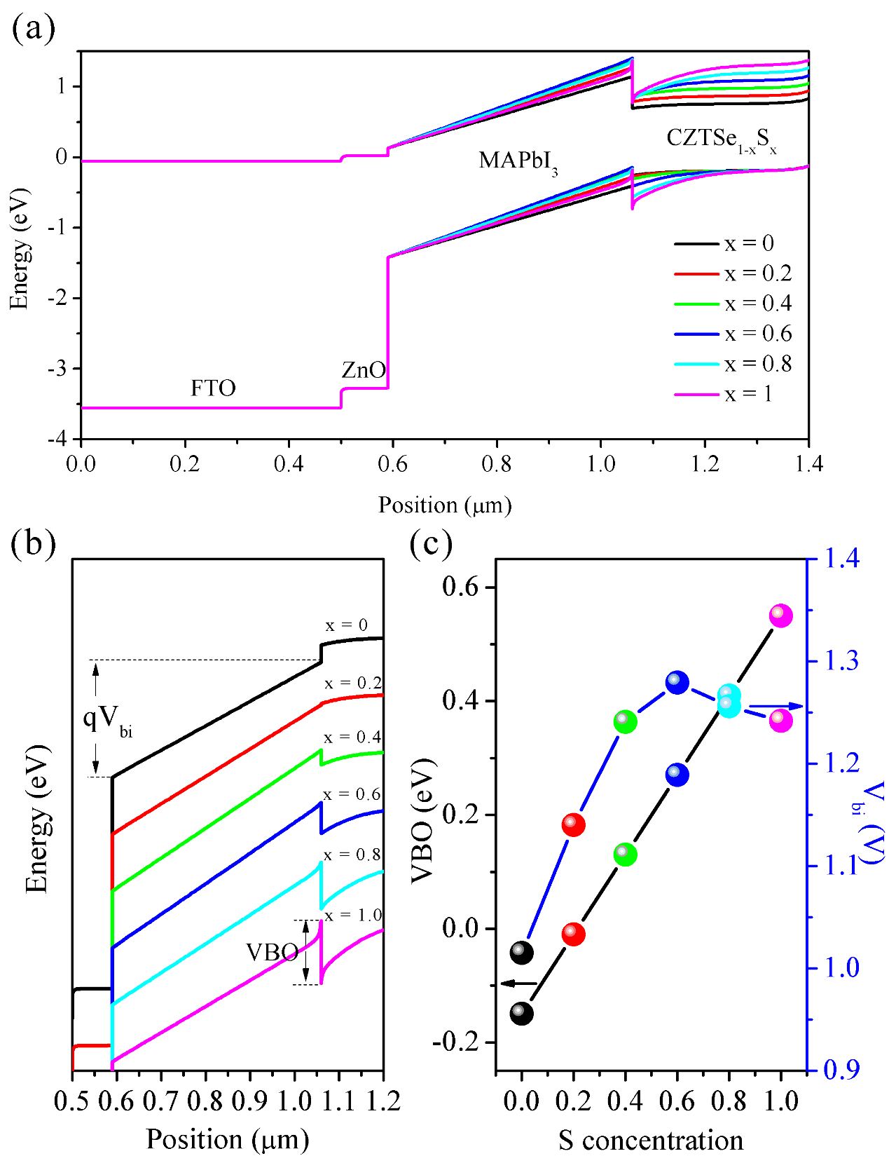
2019年2月,Materials Science in Semiconductor Processing期刊发表了程念博士研究成果,题为“A simulation study of valence band offset engineering at the perovskite/Cu2ZnSn(Se1-xSx)4 interface for enhanced performance”。合适的界面能带结构有助于提高钙钛矿电池的光电转换效率。Cu2ZnSn(Se1-xSx)4是一种非常具有潜力的无机空穴传输材料,通过调节S/Se化学比例,Cu2ZnSn(Se1-xSx)4的禁带宽度可以从0.95 eV变化到1.5 eV,同时材料的价带能级也会发生相应的移动,所以,Cu2ZnSn(Se1-xSx)4是研究钙钛矿/ Cu2ZnSn(Se1-xSx)4界面能带结构与电池光电转换性能之间相互关系的理想材料。我们使用器件模拟计算的方法,对钙钛矿/ Cu2ZnSn(Se1-xSx)4界面处的能带结构进行了研究。调节S/Se化学比例,钙钛矿/ Cu2ZnSn(Se1-xSx)4界面处的价带能级偏差能够从负值连续变化为正值。优化S元素含量后,能够在界面处获得最优化的能带偏差(+0.27 eV),对应电池的光电转换效率可以达到20.25%。进一步对Cu2ZnSn(Se1-xSx)4空穴传输层的厚度、缺陷态密度和载流子浓度进行优化后,电池效率提高到20.77%,优于相同条件下Spiro-OMeTAD空穴传输层器件的性能。
该研究得到了信阳师范学院南湖学者青年项目的资助。